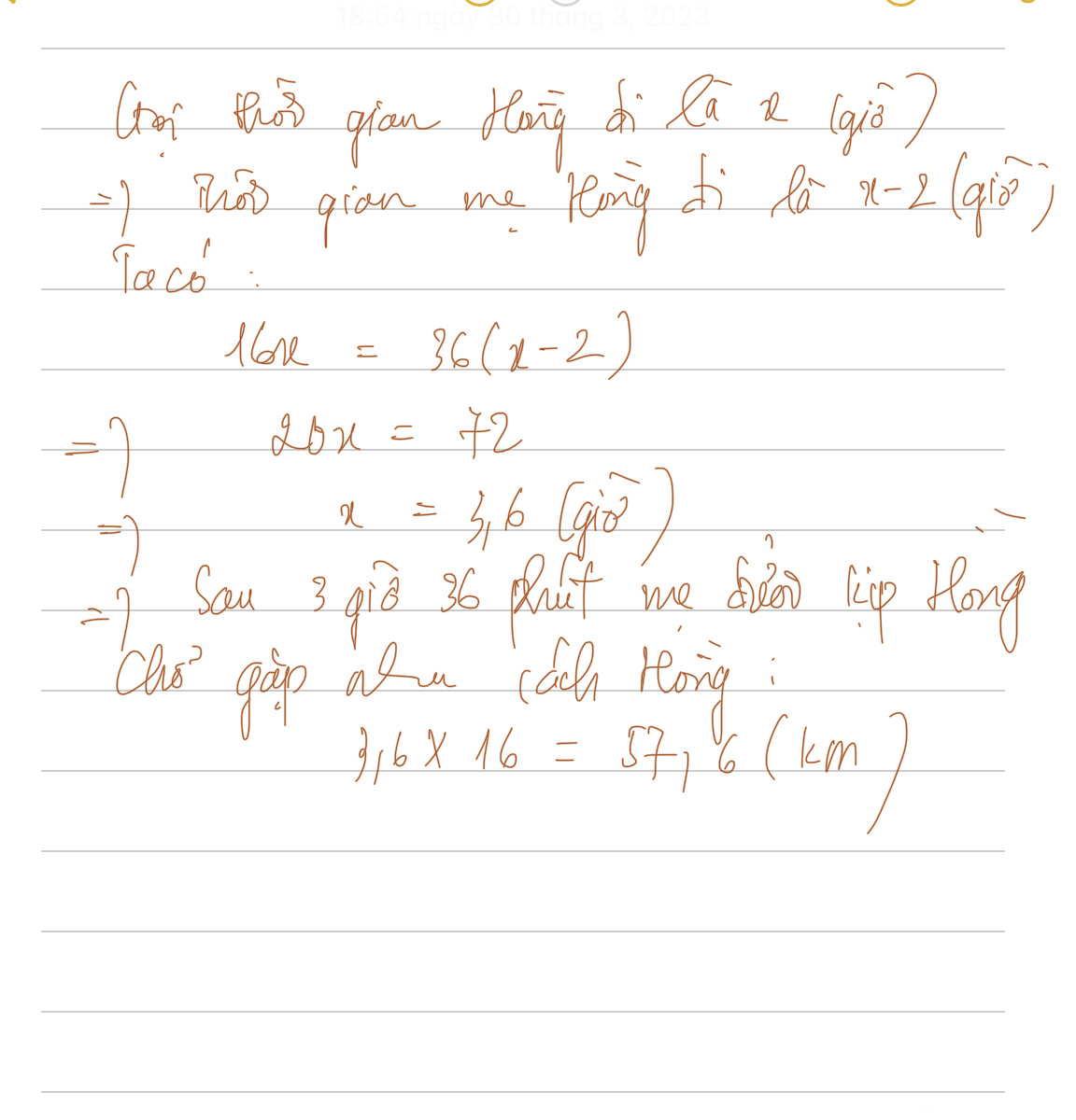
hồng đi xe đạp từ nhà lên huyện với vân tốc 16 km/giờ . sau khi đi được 2 giờ thì mẹ hồng lấy xe máy đuổi theo với vận tốc 36 km/giờ . hỏi : a) sau mấy giờ thì mẹ hồng đuổi kịp hồng? b) chổ gặp nhau cách nhà hồng bao nhiêu km . Không làm theo sách giáo khoa . làm cách lớp 5 !
Mai Phuong Anh Nguyen
· 2 năm trước
Ai giúp với :C
Quảng cáo
1 câu trả lời 267
Quảng cáo
Bạn cần hỏi gì?
Câu hỏi hot cùng chủ đề
-
Đã trả lời bởi chuyên gia
64193 -
Đã trả lời bởi chuyên gia
12950 -
Đã trả lời bởi chuyên gia
10605 -
Đã trả lời bởi chuyên gia
10192 -
Đã trả lời bởi chuyên gia
6884 -
Đã trả lời bởi chuyên gia
6637 -
Đã trả lời bởi chuyên gia
6333
Gửi báo cáo thành công!
