Nguyễn Như Ngọc
Hỏi từ APP VIETJACK
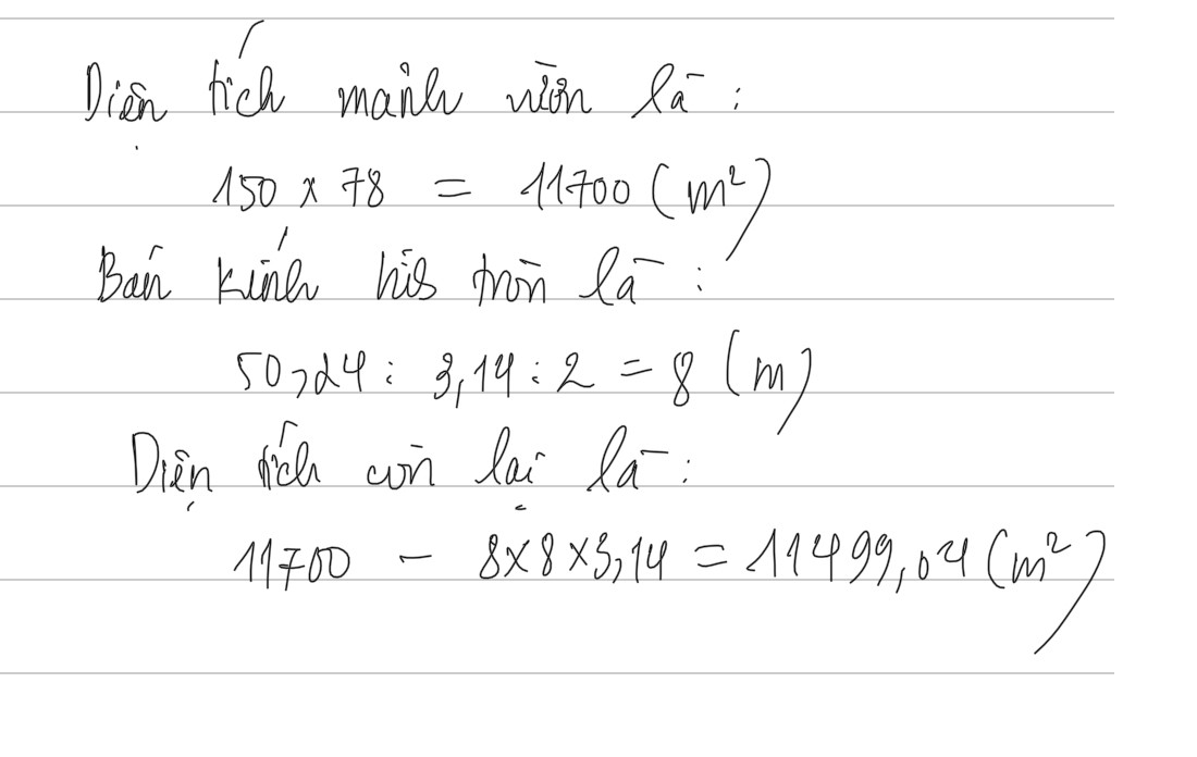
Trên một mảnh vuờn hình thang có trung bình cộng hai đáy là150m, chiều cao 78m, người ta đào một ao nuôi cá hình tròn có chu vi 50,24m. Tính diện tích còn lại của mảnh vuờn
Quảng cáo
4 câu trả lời 166
2 năm trước
Quảng cáo
Bạn muốn hỏi bài tập?
Câu hỏi hot cùng chủ đề
-
46256
-
Hỏi từ APP VIETJACK30931
Gửi báo cáo thành công!
