Quảng cáo
2 câu trả lời 281
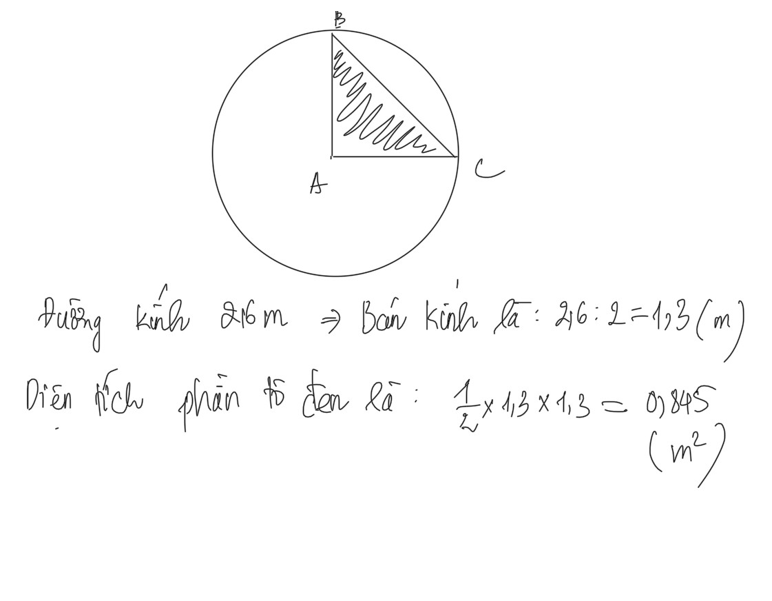
Tính diện tích phần hình được tô đậm , biết đường kính 2,6 m.
Quảng cáo
Bạn cần hỏi gì?
Câu hỏi hot cùng chủ đề
-
Đã trả lời bởi chuyên gia
64384 -
Hỏi từ APP VIETJACK
Đã trả lời bởi chuyên gia
58843 -
Đã trả lời bởi chuyên gia
49966 -
Đã trả lời bởi chuyên gia
46322 -
Đã trả lời bởi chuyên gia
40545 -
Đã trả lời bởi chuyên gia
36851 -
Đã trả lời bởi chuyên gia
31063 -
Hỏi từ APP VIETJACK
Đã trả lời bởi chuyên gia
30995
Gửi báo cáo thành công!
