Quảng cáo
2 câu trả lời 237
2 năm trước

Uyên Nè
· 2 năm trước
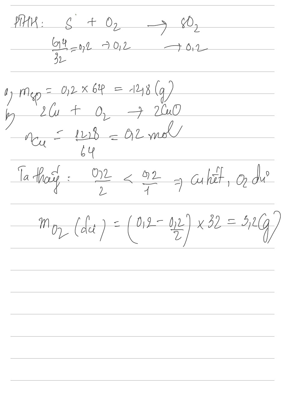
Chỗ " O,2/2 < O,2/1 " 0,2/1 là lấy lượng Oxi của câu trên phải ko ạ
Quảng cáo
Gửi báo cáo thành công!