Quảng cáo
3 câu trả lời 280
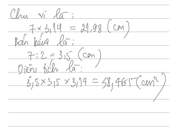
Chu vi hình tròn là :
7 × 3,14 = 21,98 ( cm )
Bán kính hình tròn là :
7 : 2 = 3,5 ( cm )
Diện tích hình tròn là :
3,5 × 3,5 × 3,14 = 38.465 ( cm² )
Chu vi hình tròn là
7×3,14=21,98(cm)
Bán kính hình tròn là
7÷2=3,5(cm)
Diện tích hình tròn là
3,5×3,5×3,14=38,465(cm2)
Quảng cáo
Bạn cần hỏi gì?
Câu hỏi hot cùng chủ đề
-
Đã trả lời bởi chuyên gia
64384 -
Hỏi từ APP VIETJACK
Đã trả lời bởi chuyên gia
58843 -
Đã trả lời bởi chuyên gia
49966 -
Đã trả lời bởi chuyên gia
46322 -
Đã trả lời bởi chuyên gia
40545 -
Đã trả lời bởi chuyên gia
36851 -
Đã trả lời bởi chuyên gia
31063 -
Hỏi từ APP VIETJACK
Đã trả lời bởi chuyên gia
30995
Gửi báo cáo thành công!
