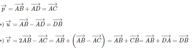
Cho hình thoi ABCD có cạnh bằng a và A=60 độ
Độ dài của vectơ BA+BC bằng
Quảng cáo
1 câu trả lời 197
Quảng cáo
Bạn cần hỏi gì?
Câu hỏi hot cùng chủ đề
-
Đã trả lời bởi chuyên gia
27900 -
Đã trả lời bởi chuyên gia
22118 -
Đã trả lời bởi chuyên gia
21670 -
Đã trả lời bởi chuyên gia
12377 -
Đã trả lời bởi chuyên gia
9639 -
Đã trả lời bởi chuyên gia
9060
Gửi báo cáo thành công!


..