Duong Thuy
Hỏi từ APP VIETJACK
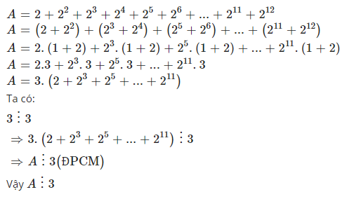
Không làm phép tính,hãy chứng tỏ tổng A chia hết cho 3 : A=2+2^2+2^3+2^4+2^5+2^6+2^7+2^8+2^9+2^10+2^11+2^12
Quảng cáo
2 câu trả lời 316
`A=2+2^2+2^3+2^4+2^5+2^6+2^7+2^8+2^9+2^10+2^11+2^12`
`=2(1+2)+2^3(1+2)+2^5(1+2)+2^7(1+2)+2^9(1+2)+2^11(1+2)`
`=3(2+2^3+2^5+2^7+2^9+2^11)`
Vì `3vdots3`
`=>3(2+2^3+2^5+2^7+2^9+2^11)vdots3`
Vậy `Avdots3`
Quảng cáo
Bạn cần hỏi gì?
Câu hỏi hot cùng chủ đề
-
Đã trả lời bởi chuyên gia
Điền vào chỗ trống trong bảng thanh toán sau:
Số thứ tự Loại hàng Số lượng (quyển) Giá đơn vị (đồng) Tổng số tiền (đồng) 1 Vở loại 1 35 2000 ... 2 Vở loại 2 42 1500 ... 3 Vở loại 3 38 1200 ... Cộng: ... 171615 -
Đã trả lời bởi chuyên gia
79661 -
Đã trả lời bởi chuyên gia
64164 -
Hỏi từ APP VIETJACK
Đã trả lời bởi chuyên gia
40462 -
Đã trả lời bởi chuyên gia
36325 -
Đã trả lời bởi chuyên gia
33083
Gửi báo cáo thành công!




