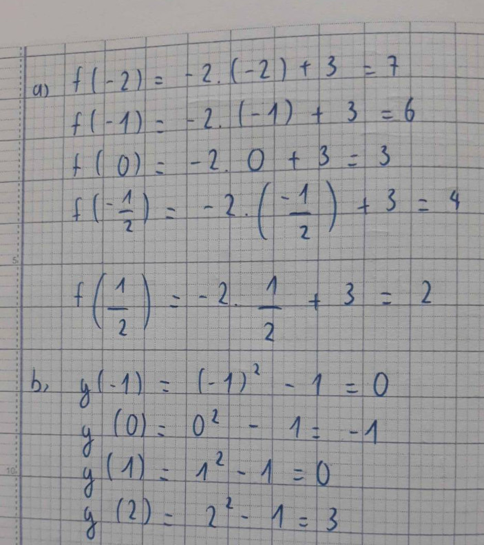
a) Cho hàm số y=f(x)=-2+3. Tính f(-2); f(-1); f(0); f(-1/2); f(1/2)
b) Cho hàm số y=g(x)= x mũ hai -1. Tính g(-1); g(0); g(1); g(2)
Quảng cáo
2 câu trả lời 278
Quảng cáo
Bạn cần hỏi gì?
Câu hỏi hot cùng chủ đề
-
Đã trả lời bởi chuyên gia
4273 -
Đã trả lời bởi chuyên gia
3958 -
Đã trả lời bởi chuyên gia
3185 -
Đã trả lời bởi chuyên gia
2772
Gửi báo cáo thành công!


