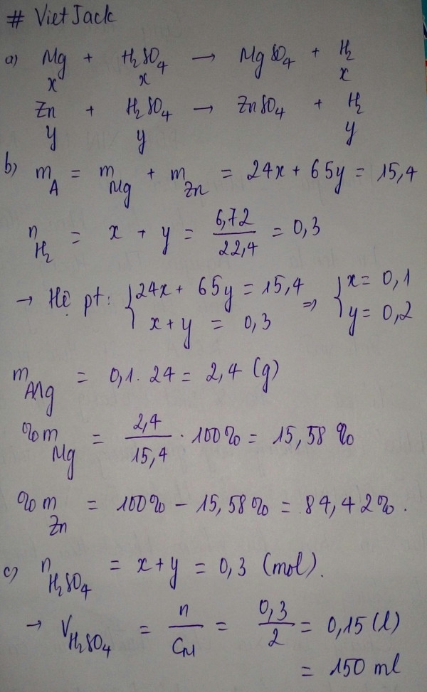
Hòa tan hoàn toàn 15,4gam hh A gồm Mg và Zn trong dung dịch axit sunfuric loãng 2M thấy sinh ra 6,72 lít khí (đktc)
a, Viết các phương trình phản ứng hóa học xảy ra
b, Tính % khối lượng mỗi kim loại trong hỗn hợp A
c, Tính thể tích dung dịch axit sunfuric loãng 2M đã dùng
Quảng cáo
1 câu trả lời 4183
Quảng cáo
Bạn cần hỏi gì?
Câu hỏi hot cùng chủ đề
-
Hỏi từ APP VIETJACK105428
-
Hỏi từ APP VIETJACK
Đã trả lời bởi chuyên gia
64923 -
Đã trả lời bởi chuyên gia
59179 -
Đã trả lời bởi chuyên gia
42310 -
Hỏi từ APP VIETJACK
Đã trả lời bởi chuyên gia
39494
Gửi báo cáo thành công!

