Sư Thanh Huyền
Hỏi từ APP VIETJACK
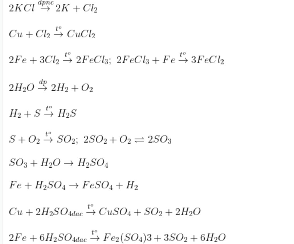
Từ KCl, Cu, S và H2O Viết các phương trình điều chế FeCl2, CuCl2, H2S , CuSO4, FeSO4, Fe2(SO4)3.
Quảng cáo
1 câu trả lời 603
Quảng cáo
Bạn muốn hỏi bài tập?
Câu hỏi hot cùng chủ đề
-
Hỏi từ APP VIETJACK99766
-
Hỏi từ APP VIETJACK63662
Gửi báo cáo thành công!

