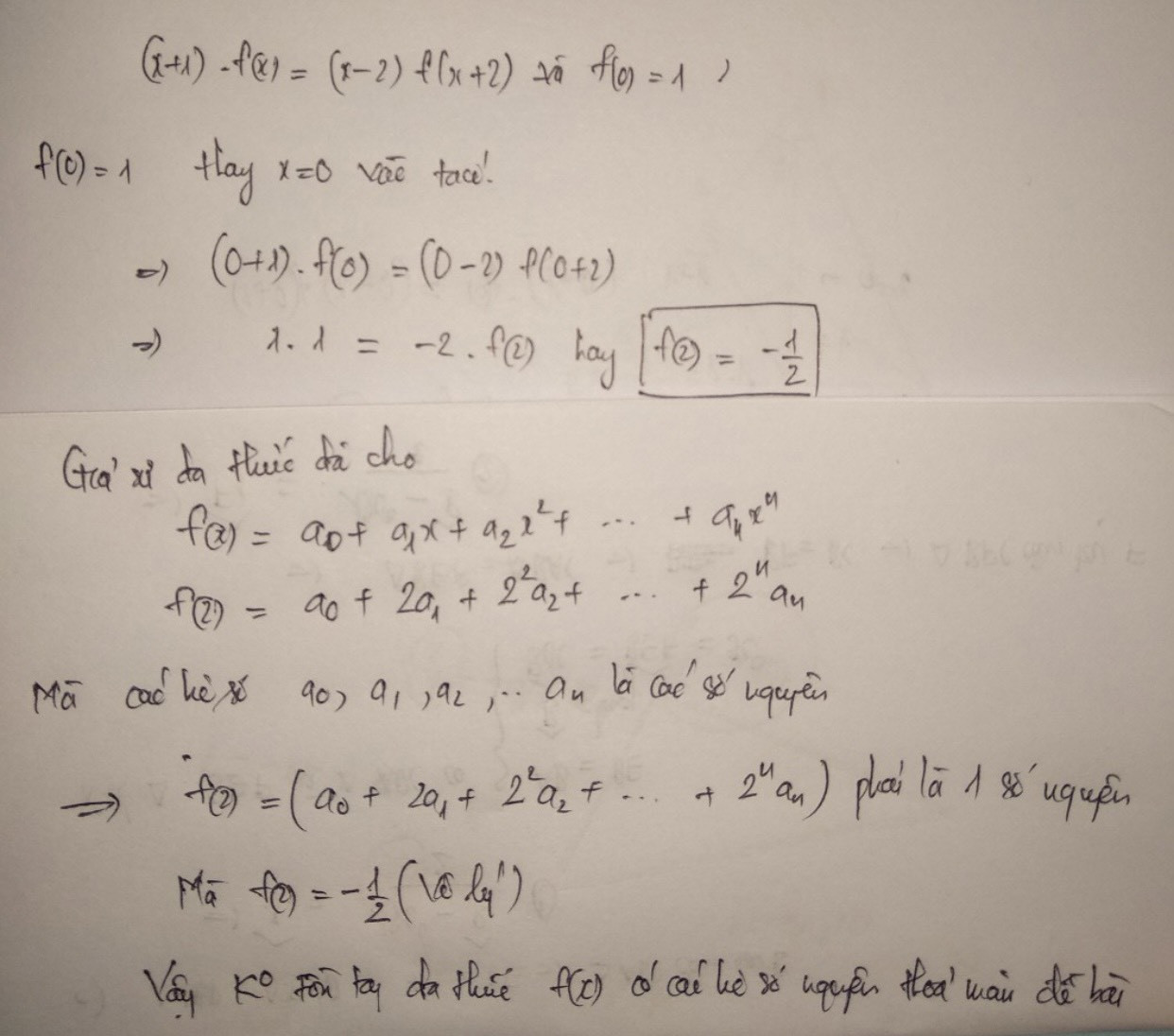
Tìm tất cả các đa thức f(x) có các hệ số nguyên thỏa mãn điều kiện:
(x+1)*f(x)=(x-2)*f(x+2) và f(0)=1
Quảng cáo
1 câu trả lời 1249
Quảng cáo
Bạn muốn hỏi bài tập?
Câu hỏi hot cùng chủ đề
-
5679
Gửi báo cáo thành công!

