Minh Tuan Duong
Hỏi từ APP VIETJACK
Bài 1 : Đặt tính rồi tính
A)
26,622: 3,4 ; 91,08: 3,6 ; 30:6,25 ; 82,16 :5,2 ; 19,72 : 5,8
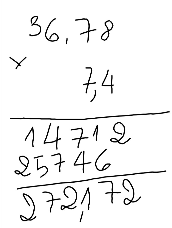
B) 78,29 × 6,7 ; 48,15 × 3,4 ; 36,78 × 7,4 ; 79,8 × 34,5
A)
26,622: 3,4 ; 91,08: 3,6 ; 30:6,25 ; 82,16 :5,2 ; 19,72 : 5,8
B) 78,29 × 6,7 ; 48,15 × 3,4 ; 36,78 × 7,4 ; 79,8 × 34,5
Quảng cáo
1 câu trả lời 332
Quảng cáo
Bạn cần hỏi gì?
Câu hỏi hot cùng chủ đề
-
Đã trả lời bởi chuyên gia
64384 -
Hỏi từ APP VIETJACK
Đã trả lời bởi chuyên gia
58843 -
Đã trả lời bởi chuyên gia
49966 -
Đã trả lời bởi chuyên gia
46322 -
Đã trả lời bởi chuyên gia
40545 -
Đã trả lời bởi chuyên gia
36851 -
Đã trả lời bởi chuyên gia
31063 -
Hỏi từ APP VIETJACK
Đã trả lời bởi chuyên gia
30995
Gửi báo cáo thành công!









