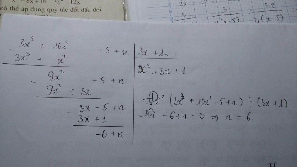
Tìm a để đa thức : ( 3x^3+10x^2-5+a) chia hết ( 3x+1)
Quảng cáo
1 câu trả lời 1876
Quảng cáo
Bạn cần hỏi gì?
Câu hỏi hot cùng chủ đề
-
Đã trả lời bởi chuyên gia
17482 -
Đã trả lời bởi chuyên gia
8069 -
Đã trả lời bởi chuyên gia
8029
Gửi báo cáo thành công!

