Hòa tan hoàn toàn 2,96 gam hỗn hợp X gồm Fe, Zn, Al bằng dung dịch HCl dư, thu được 1,568 lít khí (đktc). Mặt khác, cho 2,96 gam X phản ứng hoàn toàn với khí dư, thu được 8,64 gam muối. Khối lượng Al trong 2,96 gam X là
A. 0,54 gam. B. 0,81 gam.
C. 0,27 gam. D. 1,08 gam.
Quảng cáo
1 câu trả lời 990
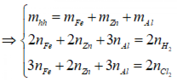
Đáp án:

bảo toàn electron

⇒l = 0,02.27 = 0,54 gam
Quảng cáo
Bạn cần hỏi gì?
Câu hỏi hot cùng chủ đề
-
Hỏi từ APP VIETJACK105318
-
Hỏi từ APP VIETJACK
Đã trả lời bởi chuyên gia
64909 -
Đã trả lời bởi chuyên gia
59175 -
Đã trả lời bởi chuyên gia
42300 -
Hỏi từ APP VIETJACK
Đã trả lời bởi chuyên gia
39480
Gửi báo cáo thành công!
