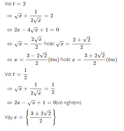
Giải phương trình sau : 5 √x + 5/ √x = 2x + 1/2x + 4
Quảng cáo
1 câu trả lời 292
Quảng cáo
Bạn muốn hỏi bài tập?
Câu hỏi hot cùng chủ đề
Gửi báo cáo thành công!
Giải phương trình sau : 5 √x + 5/ √x = 2x + 1/2x + 4
Quảng cáo
Quảng cáo
Bạn muốn hỏi bài tập?