Quảng cáo
1 câu trả lời 3503
Điện trở của dây dẫn thứ nhất:
.
Điện trở của dây dẫn thứ hai:
.
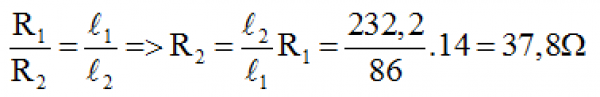
Lập tỉ số ⇒ 
Quảng cáo
Bạn cần hỏi gì?
Câu hỏi hot cùng chủ đề
-
Đã trả lời bởi chuyên gia
94796 -
Hỏi từ APP VIETJACK
Đã trả lời bởi chuyên gia
78087 -
Đã trả lời bởi chuyên gia
51664 -
Đã trả lời bởi chuyên gia
34843 -
Đã trả lời bởi chuyên gia
31721
Gửi báo cáo thành công!

