Khi đặt vào hai đầu dây dẫn một hiệu điện thế 12V thì cường độ dòng điện qua nó là 0,6A. Nếu cường độ dòng điện chạy qua nó là 1A thì hiệu điện thế đặt vào hai đầu dây dẫn là:
A. 12V
B. 9V
C. 20V
D. 18V
Quảng cáo
1 câu trả lời 828
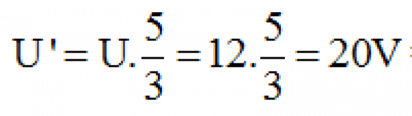
Hiệu điện thế giữa hai đầu dây dẫn tăng bao nhiêu lần thì cường độ dòng điện chạy qua dây dẫn đó cũng tăng bấy nhiêu lần.
⇒ Cường độ dòng điện tăng lên lần nên hiệu điện thế đặt vào dây dẫn đã tăng lên lần: 
→ Đáp án C
Quảng cáo
Bạn cần hỏi gì?
Câu hỏi hot cùng chủ đề
-
Đã trả lời bởi chuyên gia
94796 -
Hỏi từ APP VIETJACK
Đã trả lời bởi chuyên gia
78087 -
Đã trả lời bởi chuyên gia
51664 -
Đã trả lời bởi chuyên gia
34843 -
Đã trả lời bởi chuyên gia
31721
Gửi báo cáo thành công!

