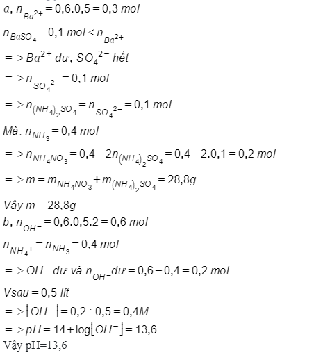
Câu 5: Cho m gam hỗn hợp (NH4)2SO4 và NH4NO3 tác dụng với 500ml dd Ba(OH)2 0.6M dư, đun nhẹ thu
được 8,96 lit khí NH3 (đkc) và 23,3g kết tủa trắng và dd A
a) Tính m?
b) Giả sử thể tích dd A không đổi sau phản ứng. Tính pH của dd A
được 8,96 lit khí NH3 (đkc) và 23,3g kết tủa trắng và dd A
a) Tính m?
b) Giả sử thể tích dd A không đổi sau phản ứng. Tính pH của dd A
Quảng cáo
2 câu trả lời 1536
Quảng cáo
Bạn cần hỏi gì?
Câu hỏi hot cùng chủ đề
-
Đã trả lời bởi chuyên gia
104122 -
Đã trả lời bởi chuyên gia
89885 -
Đã trả lời bởi chuyên gia
68872 -
Hỏi từ APP VIETJACK64943
-
Đã trả lời bởi chuyên gia
64051 -
Đã trả lời bởi chuyên gia
55569 -
Hỏi từ APP VIETJACK45041
-
Hỏi từ APP VIETJACK
Đã trả lời bởi chuyên gia
43457
Gửi báo cáo thành công!

.
.