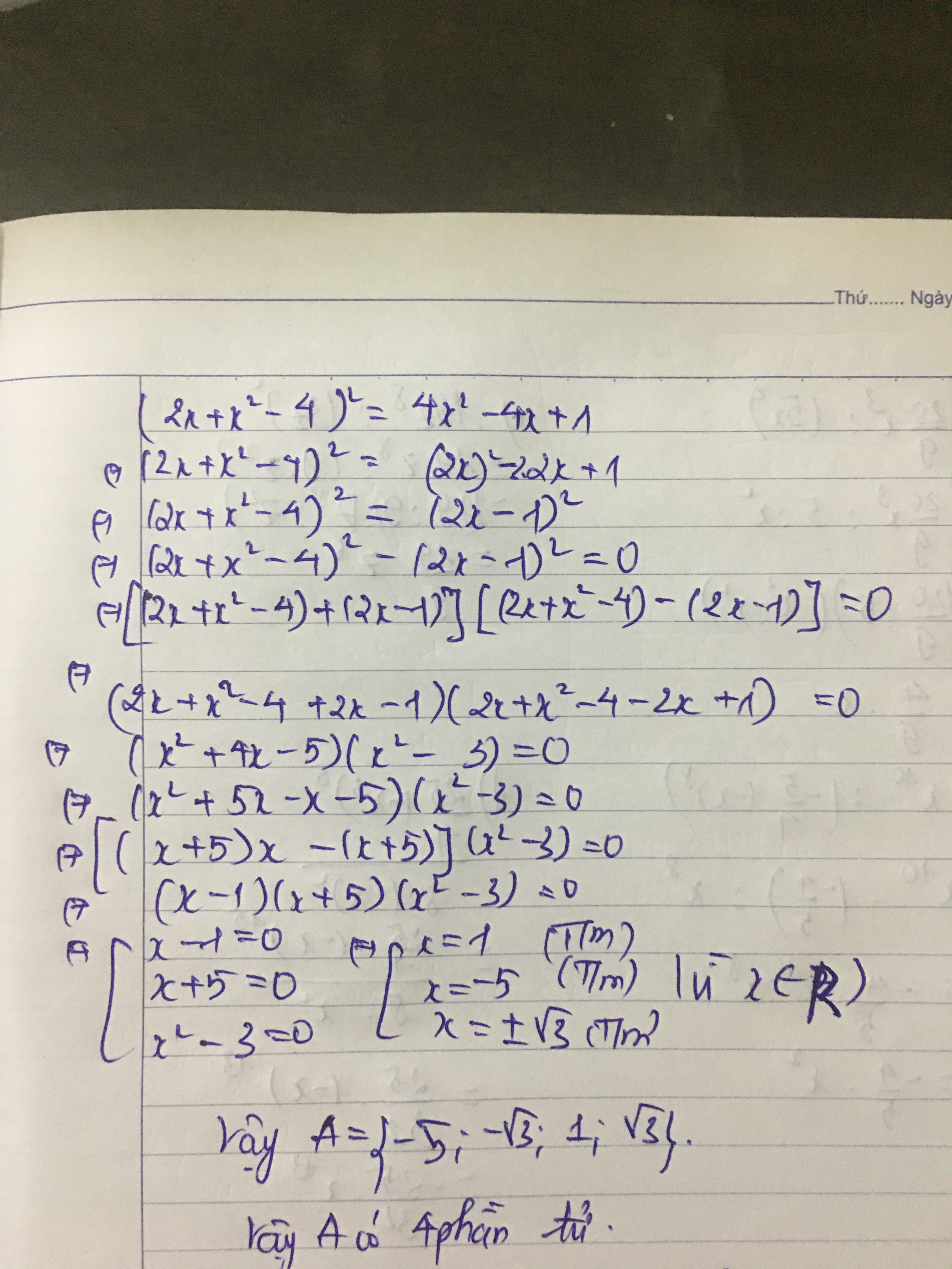
Số phần tử của A là {x ∈ R\ (2x + x−4)= 4x− 4x + 1}
trình bày rõ ràng , củ thể
Giups e vs ạ ![]()
![]()
![]()
Quảng cáo
1 câu trả lời 4692

Quảng cáo
Bạn cần hỏi gì?
Câu hỏi hot cùng chủ đề
-
Đã trả lời bởi chuyên gia
15354 -
Đã trả lời bởi chuyên gia
13748 -
Đã trả lời bởi chuyên gia
12126 -
Đã trả lời bởi chuyên gia
11336 -
Đã trả lời bởi chuyên gia
10419 -
Đã trả lời bởi chuyên gia
10250 -
Đã trả lời bởi chuyên gia
10043
Gửi báo cáo thành công!
