So sánh vận tốc góc, vận tốc dài và gia tốc hướng tâm của điểm nằm ở vành ngoài và điểm
nằm ở chính giữa bán kính một bánh xe.
Quảng cáo
1 câu trả lời 2979
4 năm trước
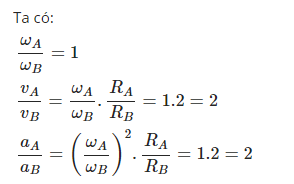
Gọi A là điểm nằm ở vành ngoài của bánh xe
B là điểm nằm chính giữa bán kinh bánh xe

Quảng cáo
Bạn cần hỏi gì?
Câu hỏi hot cùng chủ đề
-
Đã trả lời bởi chuyên gia
18645 -
Đã trả lời bởi chuyên gia
17060 -
Đã trả lời bởi chuyên gia
16009 -
Đã trả lời bởi chuyên gia
14760 -
Đã trả lời bởi chuyên gia
12312 -
Đã trả lời bởi chuyên gia
11540
Gửi báo cáo thành công!

