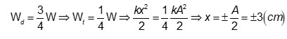
Một vật dao động điều hoà với biên độ 6cm. Mốc thế năng ở vị trí cân bằng. Khi vật có động năng bằng 3/4 lần cơ năng thì vật cách vị trí cân bằng 1 đoạn :
A. 6cm
B 4.5 cm
C. 4cm
D. 3cm
Quảng cáo
2 câu trả lời 9287
Quảng cáo
Bạn cần hỏi gì?
Câu hỏi hot cùng chủ đề
-
Đã trả lời bởi chuyên gia
153505 -
Đã trả lời bởi chuyên gia
130447 -
Đã trả lời bởi chuyên gia
113051 -
Đã trả lời bởi chuyên gia
107109 -
Đã trả lời bởi chuyên gia
71856
Gửi báo cáo thành công!

