Thanh Hằng
Hỏi từ APP VIETJACK
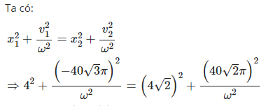
Một vật dao động điều hòa khi vật có li độ x1 = 4 cm thì vận tốc v1 = -40√3π cm /s ; khi vật có li độ x2 = 4√2 cm thì vận tốc v2 =40√2π cm/s . Tính chu kì dao động
Quảng cáo
1 câu trả lời 17948
Quảng cáo
Bạn muốn hỏi bài tập?
Câu hỏi hot cùng chủ đề
-
153203
-
110953
-
106707
-
71461
Gửi báo cáo thành công!

