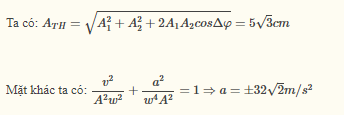
Một vật thực hiện hai dao động điều hoà cùng phương cùng tần số f=4hz cùng biên độ A1=A2=5cm và có độ lệch pha denta phi =pi/3 cho pi^2=10 gia tốc của vật khi nó có vận tốc v=40pi cm/s
Quảng cáo
1 câu trả lời 5204
Quảng cáo
Bạn cần hỏi gì?
Câu hỏi hot cùng chủ đề
-
Đã trả lời bởi chuyên gia
153396 -
Đã trả lời bởi chuyên gia
130334 -
Đã trả lời bởi chuyên gia
112753 -
Đã trả lời bởi chuyên gia
106968 -
Đã trả lời bởi chuyên gia
71725
Gửi báo cáo thành công!

