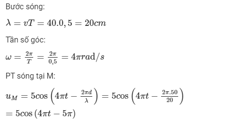
Một sợi dây đàn hồi nằm ngang có điểm đầu a dao động theo phương thẳng đứng với biên độ A=5cm,T = 0,5s, vận tốc truyền sóng là 40cm/s. viết phương truyền sóng tại M cách O ,d= 50 cm
Quảng cáo
2 câu trả lời 19957
Quảng cáo
Bạn cần hỏi gì?
Câu hỏi hot cùng chủ đề
-
Đã trả lời bởi chuyên gia
153215 -
Đã trả lời bởi chuyên gia
130136 -
Đã trả lời bởi chuyên gia
111343 -
Đã trả lời bởi chuyên gia
106728 -
Đã trả lời bởi chuyên gia
71482
Gửi báo cáo thành công!

.