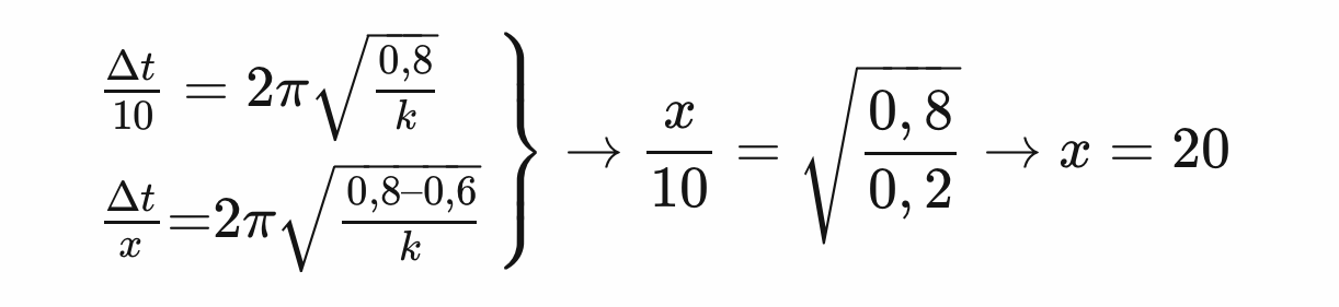
Một con lắc lò xo có khối lượng 0,8 kilôgam dao động điều hòa trong khoảng thời gian Denta t nó thực hiện được 10 dao động giảm bớt khối lượng con lắc đi 600 gam thì cũng trong khoảng thời gian Denta t nói trên con lắc thực hiện được bao nhiêu lao động
Quảng cáo
2 câu trả lời 7228
Quảng cáo
Bạn muốn hỏi bài tập?
Câu hỏi hot cùng chủ đề
-
153203
-
110953
-
106707
-
71461
Gửi báo cáo thành công!


