Cho sinα = -2/5 với 3π/2 < α < 2π. Giá trị cotα là
A. 1/2 B. 1/
C. -1/2 D. -3/
Quảng cáo
1 câu trả lời 7155
Giải bài toán: Tìm giá trị cota
1. Phân tích bài toán
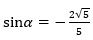
Ta có:
![]()
Khoảng
tương ứng với **góc phần tư thứ tư** trong hệ trục lượng giác.
Trong góc phần tư thứ tư:
![]()
2. Tính cosa dựa vào sina
Ta sử dụng hệ thức lượng giác cơ bản:
![]()
Thay
vào, ta có:

Tính sin2a:

Thay vào phương trình:
![]()
Rút gọn:
![]()
Suy ra:

Do a nằm ở góc phần tư thứ tư, nên cosa > 0.
3. Tính cota
Ta biết:
![]()
Thay
và
vào:
Thực hiện phép chia phân số:

Rút gọn:

4. Kết luận
Giá trị của cota là:
![]()
Đáp án đúng là: C. -1/2.
Quảng cáo
Bạn cần hỏi gì?
Câu hỏi hot cùng chủ đề
-
Đã trả lời bởi chuyên gia
60281 -
Đã trả lời bởi chuyên gia
14993 -
Đã trả lời bởi chuyên gia
12808 -
Đã trả lời bởi chuyên gia
11816 -
Đã trả lời bởi chuyên gia
11315 -
Đã trả lời bởi chuyên gia
9951 -
Đã trả lời bởi chuyên gia
9931
Gửi báo cáo thành công!

