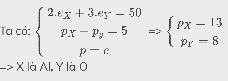
Bài 1. Hợp chất M có công thức X2Y3. Tổng số electron trong phân tử M là 50. Hiệu số
proton của hai nguyên tử X và Y là 5. Xác định hai nguyên tố X, Y.
Bài 2. Một hợp chất X tạo bởi ba nguyên tố Mg, S và O có tỉ lệ về khối lượng tương ứng
là 3 : 4 : 6, biết 0,45 mol X nặng 46,8 gam. Xác định công thức hóa học của hợp chất X.
Quảng cáo
2 câu trả lời 935
4 năm trước
M

Vậy X là nhôm, Y là oxi
Nguyễn Sáu
· 4 năm trước
làm sao để từ 2.ex+3.ey=50
Nguyễn Sáu
· 4 năm trước
px-py=5
Nguyễn Sáu
· 4 năm trước
p=e để ra px=13.py=8
Quảng cáo
Bạn muốn hỏi bài tập?
Câu hỏi hot cùng chủ đề
-
25742
Gửi báo cáo thành công!
