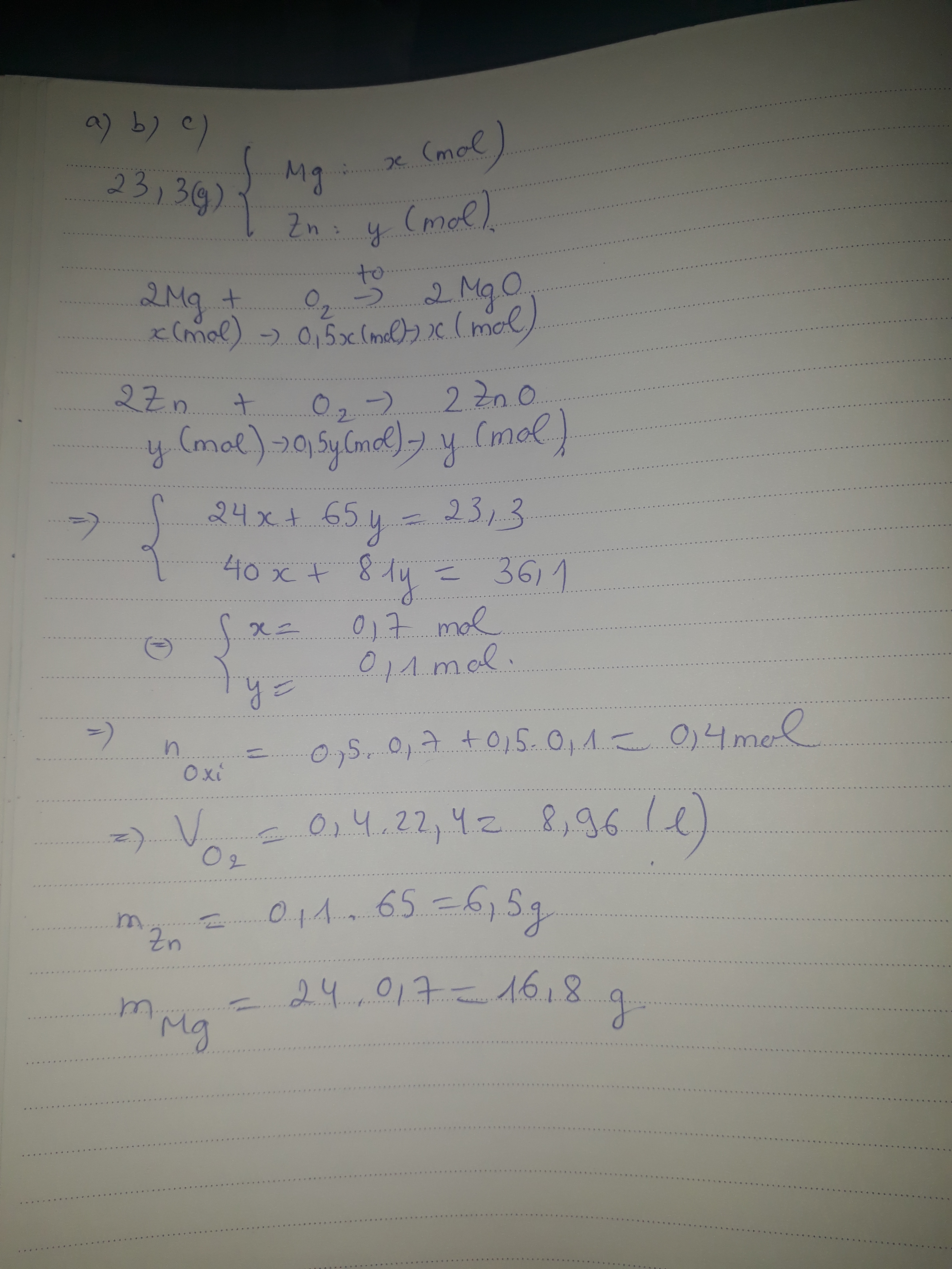
Đốt cháy hoàn toàn 23.3g hỗn hợp 2 kim loại Mg và Zn trong bình kín đựng khí oxi sau phản ứng xảy ra hoàn toàn thu được 36.1g hỗn hợp 2 oxit
a viết PTHH xảy ra
b tính thể tích khí oxi(đktc) đã dùng để đốt cháy lượng kim loại trên
c tính khối mỗi kim loại trong hỗn hợp trên
Quảng cáo
1 câu trả lời 717
Quảng cáo
Bạn cần hỏi gì?
Câu hỏi hot cùng chủ đề
-
Đã trả lời bởi chuyên gia
6601 -
Đã trả lời bởi chuyên gia
5055 -
Đã trả lời bởi chuyên gia
5004 -
Đã trả lời bởi chuyên gia
3667 -
Đã trả lời bởi chuyên gia
3566
Gửi báo cáo thành công!

