Quảng cáo
1 câu trả lời 867
a) Biến áp:
- Chọn hệ số công suất biến áp
- Công suất biến áp:
![]()
- Điện áp vào:
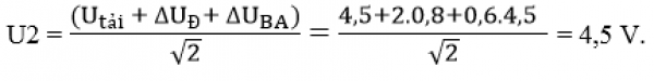
- Điện áp ra:
![]()
b) Điôt:
- Chọn hệ số dòng điện , hệ số
- Dòng điện điôt:

- Điện áp ngược:
![]()
Từ các thông số trên, tra Sổ tay linh kiện điện tử để chọn điôt loại: 1N4001 có
c) Tụ điện
Để lọc tốt thì tụ điện có điện dung càng lớn càng tốt và phải chịu đựng được điện áp √2=6,36 V. Chọn tụ lọc có thông số C = 1000 μF, =25 V.
Quảng cáo
Bạn cần hỏi gì?
Câu hỏi hot cùng chủ đề
-
Đã trả lời bởi chuyên gia
105867 -
Đã trả lời bởi chuyên gia
46814 -
Đã trả lời bởi chuyên gia
29311 -
Đã trả lời bởi chuyên gia
27638 -
Hỏi từ APP VIETJACK
Đã trả lời bởi chuyên gia
25451
Gửi báo cáo thành công!
