Quảng cáo
1 câu trả lời 346
Đĩa của xích to hơn líp hay đường kính của đĩa lớn hơn đường kính của líp , như vậy khi bạn đạp 01 vòng của đĩa thì líp quay nhiều vòng hơn và bánh xe quay cũng nhiều vòng kết quả được đoạn đường xa hơn.
Nếu kích thước đĩa và líp bằng nhau thì khi bạn 01 vòng đĩa thì bành xe cũng chỉ quay được 01 vòng.
Tuy nhiên tỷ lệ đường kính đĩa và líp phải được các kỹ sư cơ khí tính toán sao cho bảo đảm được an toàn năng lượng nghĩa là hiệu quả của 01 công tạo ra là lớn nhất.
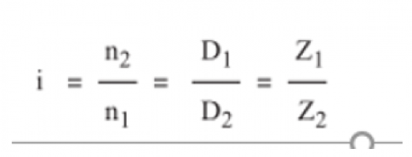
Nếu đĩa ( đĩa dẫn) có răng Z1 quay với tốc độ n1 ( vòng/phút), líp ( đĩa bị dẫn) có số răng Z2 quay với tốc độ n2 (vòng/phút) thì tỉ số truyền:

Từ hệ thức trên ta thấy líp có số răng ít hơn sẽ quay nhiều vòng hơn
Quảng cáo
Bạn cần hỏi gì?
Câu hỏi hot cùng chủ đề
-
Hỏi từ APP VIETJACK
Đã trả lời bởi chuyên gia
45222 -
Hỏi từ APP VIETJACK
Đã trả lời bởi chuyên gia
44983 -
Hỏi từ APP VIETJACK
Đã trả lời bởi chuyên gia
36754 -
Hỏi từ APP VIETJACK
Đã trả lời bởi chuyên gia
34743 -
Đã trả lời bởi chuyên gia
31144 -
Đã trả lời bởi chuyên gia
24680
