Ở một loài thực vật, màu sắc hoa do một gen có 2 alen quy định, alen A quy định hoa đỏ trội hoàn toàn so với alen a quy định hoa trắng; chiều cao cây do hai cặp gen B,b và D,d cùng quy định. Cho cây (P) thân cao, hoa đỏ dị hợp về cả ba cặp gen lai với cây đồng hợp lặn về cả ba cặp gen trên, thu được đời con gồm: 140 cây thân cao, hoa đỏ; 360 cây thân cao, hoa trắng; 640 cây thân thấp, hoa trắng; 860 cây thân thấp, hoa đỏ. Trong các phát biểu sau đây có bao nhiêu phát biểu đúng?
I. Tính trạng màu sắc hoa và tính trạng chiều cao cây tuân theo quy luật di truyền liên kết hoàn toàn
II. Kiểu gen của cây (P) có thể là ![]()
III. Đã xảy ra hoán vị gen ở cây (P) với tần số 28%.
IV. Tỉ lệ cây thân cao, hoa đỏ dị hợp cả 3 cặp gen ở đời con là 7%.
A. 4. B. 2. C. 3 D. 1.
Quảng cáo
1 câu trả lời 546
Đáp án: B
Xét tỷ lệ kiểu hình của phép lai phân tích :
Đỏ/trắng =1/1
Cao/thấp = 1/3 → tương tác bổ sung kiểu 9 :7
Nếu các gen này PLĐL thì tỷ lệ kiểu hình ở đời con (1 :1)(1 :3) ≠ đề bài → 1 trong 2 gen quy định chiều cao và gen quy định màu sắc cùng nằm trên 1 cặp NST
Giả sử cặp Aa và Bb cùng nằm trên 1 cặp NST
Quy ước gen :
A : Hoa đỏ >> a : hoa trắng
B-D-: Thân cao; B-dd/bbD-/bbdd: thân thấp
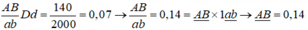
Tỷ lệ cây thân cao, hoa đỏ:
![]()
là giao tử hoán vị → f=0,28
→ kiểu gen của P: 
Xét các phát biểu
I sai, có HVG với tần số 28%
II sai, hai cặp gen Bb và Dd không thể cùng nằm trên l cặp NST
III đúng.
IV đúng, 
Quảng cáo
Bạn cần hỏi gì?
Câu hỏi hot cùng chủ đề
-
Đã trả lời bởi chuyên gia
48845 -
Đã trả lời bởi chuyên gia
42992 -
Đã trả lời bởi chuyên gia
35374 -
Đã trả lời bởi chuyên gia
30164 -
Đã trả lời bởi chuyên gia
28071 -
Đã trả lời bởi chuyên gia
26119
