Một loài thực vật, tính trạng chiều cao thân do 2 cặp gen A, a và B, b phân li độc lập cùng quy định: kiểu gen có cả 2 loại alen trội A và B quy định thân cao, các kiểu gen còn lại đều quy định thân thấp. Alen D quy định hoa vàng trội hoàn toàn so với alen d quy định hoa trắng. Cho cây dị hợp tử về 3 cặp gen (P) tự thụ phấn, thu được F1 có kiểu hình phân li theo tỉ lệ 6 cây thân cao, hoa vàng : 6 cây thân thấp, hoa vàng : 3 cây thân cao, hoa trắng : 1 cây thân thấp, hoa trắng. Theo lí thuyết, có bao nhiêu phát biểu sau đây đúng?
I. Kiểu gen của cây P có thể là ![]()
II. F1 có 1/4 số cây thân cao, hoa vàng dị hợp tử về 3 cặp gen.
III. F1 có tối đa 7 loại kiểu gen.
IV. F1 có 3 loại kiểu gen quy định cây thân thấp, hoa vàng.
A. 2. B. 4. C. 3. D. 1.
Quảng cáo
1 câu trả lời 669
Đáp án: A
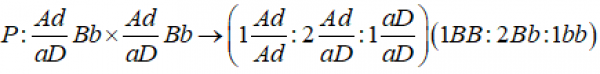
Giả sử cặp gen Aa và Dd cùng nằm trên 1 cặp NST.
Khi cho cơ thể dị hợp 3 cặp gen tự thụ phấn, tỷ lệ thân cao hoa đỏ
![]()
→ Các gen liên kết hoàn toàn, dị hợp tử đối (vì nếu dị hợp tử đều thì tỷ lệ này =0,75)
![]()
Xét các phát biểu:
I đúng, kiểu gen của cây ![]()
II sai ,trong số cây thân cao hoa vàng tỷ lệ thân cao hoa vàng dị hợp về 3 cặp gen là ![]()
III sai, F1 có tối đa 9 loại kiểu gen
IV đúng, số kiểu gen quy định thân thấp hoa vàng là ![]()
Quảng cáo
Bạn cần hỏi gì?
Câu hỏi hot cùng chủ đề
-
Đã trả lời bởi chuyên gia
48845 -
Đã trả lời bởi chuyên gia
42992 -
Đã trả lời bởi chuyên gia
35374 -
Đã trả lời bởi chuyên gia
30164 -
Đã trả lời bởi chuyên gia
28071 -
Đã trả lời bởi chuyên gia
26119
