Ở ruồi giấm, xét 3 gen A, B, D quy định 3 tính trạng khác nhau và alen trội là trội hoàn toàn. Phép lai
thu được F1 có tỉ lệ kiểu hình lặn về cả 3 tính trạng chiếm 4%. Có bao nhiêu dự đoán sau đây là đúng với kết quả ở F1?
(1). Có 21 loại kiểu gen và 8 loại kiểu hình.
(2). Kiểu hình có 2 trong 3 tính trạng trội chiếm tỉ lệ 30%.
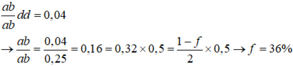
(3). Tần số hoán vị gen là 36%.
(4). Tỉ lệ kiểu hình mang 1 trong 3 tính trạng trội chiếm 16,5%.
(5). Kiểu hình dị hợp về 3 cặp gen chiếm tỉ lệ 16%.
(6). Xác xuất để 1 cá thể A-B-D- có kiểu gen thuần chủng là 8/99.
A. 5 B. 4 C. 3 D. 6
Quảng cáo
1 câu trả lời 349
Đáp án: D
Tỷ lệ lặn về 3 tính trạng:

A-B- = 0,5 + 0,16 = 0,66; A-bb = aaB- = 0,25 – 0,16 =0,09
D- = 0,75; dd = 0,25
Xét các phát biểu:
(1) đúng, số loại kiểu gen là 7 x 3 = 21; số loại kiểu hình là 4 x 2 = 8
(2) đúng, kiểu hình có 2 trong 3 tính trạng trội:
A-B-dd + A-bbD- + aaB-D- = 0,66 x 0,25 + 2 x 0,09 x 0,74 = 0,3
(3) đúng
(4) đúng, tỷ lệ kiểu hình mang 1 trong 3 tính trạng trội:
A-bbdd + aaB-dd + aabbD- = 2 x 0,09 x 0,25 + 0,16 x 0,75 = 0,165
(5) đúng, kiểu gen dị hợp về 3 cặp gen là ![]()
(6) đúng, tỷ lệ A-B-D- = 0,66 x 0,75 = 0,495

Quảng cáo
Bạn cần hỏi gì?
Câu hỏi hot cùng chủ đề
-
Đã trả lời bởi chuyên gia
48845 -
Đã trả lời bởi chuyên gia
42992 -
Đã trả lời bởi chuyên gia
35374 -
Đã trả lời bởi chuyên gia
30164 -
Đã trả lời bởi chuyên gia
28071 -
Đã trả lời bởi chuyên gia
26119
