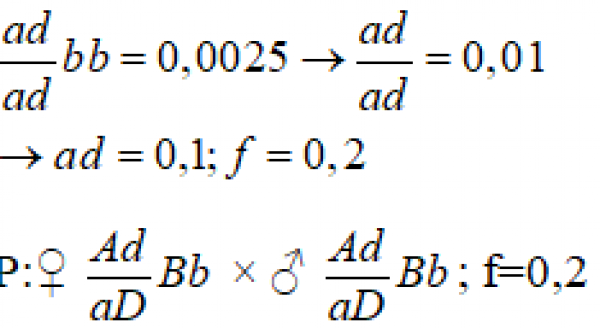
Ở một loài sinh vật lưỡng bội; xét phép lai P:
, tạo ra F1, ở F1 các cá thể có kiểu gen không mang alen trội nào chiếm 0,25%. Biết rằng hoán vị gen ở hai giới xảy ra với tần số bằng nhau, mỗi gen quy định môt tính trạng, trội lặn hoàn toàn. Trong các dự đoán sau, có bao nhiêu dự đoán đúng?
I. Tần số hoán vị là 20%.
II. Ở F1, số cá thể có kiểu gen dị hợp về cả ba cặp gen chiếm tỉ lệ 34%.
III. Ở F1, số cá thể có kiểu hình trội về cả ba tính trạng chiếm tỉ lệ là 12,75%.
IV. Số loại kiểu gen ở F1 là 27.
A. 3 B. 2 C. 1 D. 4
Quảng cáo
1 câu trả lời 283
Đáp án: C
Tỷ lệ kiểu gen

Tỷ lệ giao tử: Ad = aD =0,4; AD = ad = 0,1
Xét các phát biểu
I đúng
II sai, tỷ lệ dị hợp 3 cặp gen là: (2× + 2×)×0,5 = 0,17
III sai, tỷ lệ kiểu hình trội về 3 tính trạng là : A-D-B- = (0,5+aadd)×0,75D- = 38,25%
IV sai, số kiểu gen ở F1 là 30
Quảng cáo
Bạn cần hỏi gì?
Câu hỏi hot cùng chủ đề
-
Đã trả lời bởi chuyên gia
48845 -
Đã trả lời bởi chuyên gia
42992 -
Đã trả lời bởi chuyên gia
35374 -
Đã trả lời bởi chuyên gia
30164 -
Đã trả lời bởi chuyên gia
28071 -
Đã trả lời bởi chuyên gia
26119
