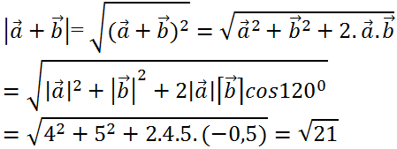
Cho 2 vectơ a→;b→ có a→ = 4; b→ = 5; a→;b→ = 120o. Tính a→+b→
C. 21
D. 61
Quảng cáo
Chọn A.
Ta có:
Bạn muốn hỏi bài tập?
Cho α và β là hai góc khác nhau và bù nhau. Trong các đẳng thức sau đây, đẳng thức nào sai?
A. sinα=sinβ.
B. cosα=−cosβ.
C. tanα=−tanβ.
D. cotα=cotβ.
Cho các véctơ a→;b→ có độ dài bằng 1 và góc tạo bởi hai vectơ bằng 600. Xác định cosin góc giữa hai vectơ u→ = a→+ 2b→; v→ = a→ - b→
A. -1/2
B. -1/4
C. -1/6
D. 0</p
Cho biết cosα=−23. Giá trị của P=cotα+3tanα2cotα+tanα bằng bao nhiêu ?
A. P=−1913.
B. P=1913.
C. P=2513.
D. P=-2513.
giải tam giác abc biết:
a) c=14, góc A= 60 độ, góc B= 40 độ
b) a=10,b=12,c=21
Trong mặt phẳng tọa độ Oxy, cho hai vectơ a→=4i→+6j→ và b→=3i→−7j→. Tính tích vô hướng a→.b→.
A. – 30
B. 3
C. 30
D. 43
Cho ABC là tam giác đều cạnh 6 cm. Bán kính đường tròn ngoại tiếp tam giác ABC bằng
A.33
B.23
C.43
D.3
Cho tam giác đều ABC có cạnh bằng a. Tính tích vô hướng AB→.BC→
A.
B.
C.
D.
Giá trị của A=tan5∘.tan10∘.tan15∘...tan80∘.tan85∘ là:
Cho tam giác ABC là tam giác đều cạnh a. Bán kính đường tròn ngoại tiếp tam giác ABC bằng.
A. a33
B. a32
C. a34
D. a22
Tam giác ABC có B^=60°, C^=45°và AB = 5. Tính độ dài cạnh AC.
A. AC=562.
B. AC=53.
C. AC=52.
D. AC = 10