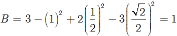
Tính giá trị biểu thức sau: B = 3 - sin2900 + 2cos2600 - 3tan2450
A. -1
B. 0
C. 1
D. 2
Quảng cáo
1 câu trả lời 3238
Quảng cáo
Bạn muốn hỏi bài tập?
Câu hỏi hot cùng chủ đề
-
Đã trả lời bởi chuyên gia
59732 -
Đã trả lời bởi chuyên gia
14837 -
Đã trả lời bởi chuyên gia
12659 -
Đã trả lời bởi chuyên gia
11736 -
Đã trả lời bởi chuyên gia
10916 -
Đã trả lời bởi chuyên gia
9874 -
Đã trả lời bởi chuyên gia
9827
Gửi báo cáo thành công!

