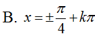
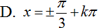
Nghiệm của phương trình 2cos2x + 2cosx
Quảng cáo
1 câu trả lời 968
Quảng cáo
Bạn muốn hỏi bài tập?
Câu hỏi hot cùng chủ đề
Gửi báo cáo thành công!
Nghiệm của phương trình 2cos2x + 2cosx
Quảng cáo
Quảng cáo
Bạn muốn hỏi bài tập?