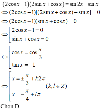
Giải phương trình (2cosx - 1)(2sinx + cosx) = sin2x - sinx
Quảng cáo
1 câu trả lời 1980
Quảng cáo
Bạn cần hỏi gì?
Câu hỏi hot cùng chủ đề
-
Đã trả lời bởi chuyên gia
47858 -
Đã trả lời bởi chuyên gia
27685 -
Đã trả lời bởi chuyên gia
20353 -
Đã trả lời bởi chuyên gia
19427 -
Đã trả lời bởi chuyên gia
19003 -
Đã trả lời bởi chuyên gia
13104
Gửi báo cáo thành công!
