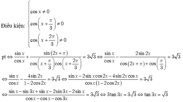
Phương trình tanx + tan(x + ) + tan(x + ) = 3 tương đương với phương trình.
A. cot x =
B. cot 3x =
C. tan x =
D. tan 3x =
Quảng cáo
1 câu trả lời 3091
Quảng cáo
Bạn muốn hỏi bài tập?
Câu hỏi hot cùng chủ đề
Gửi báo cáo thành công!
Phương trình tanx + tan(x + ) + tan(x + ) = 3 tương đương với phương trình.
A. cot x =
B. cot 3x =
C. tan x =
D. tan 3x =
Quảng cáo
Quảng cáo
Bạn muốn hỏi bài tập?