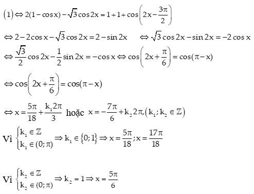
Tìm x ∈ (0; π) :
A. 
B. ![]()
C. ![]()
D.Tất cả sai
Quảng cáo
1 câu trả lời 6371
Quảng cáo
Bạn muốn hỏi bài tập?
Câu hỏi hot cùng chủ đề
Gửi báo cáo thành công!
Tìm x ∈ (0; π) :
A. 
B. ![]()
C. ![]()
D.Tất cả sai
Quảng cáo
Quảng cáo
Bạn muốn hỏi bài tập?