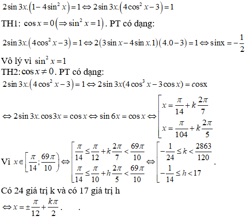
Số nghiệm thuộc [;] của phương trình 2sin3x.(1 – 4sin2x) = 1 là:
A.40
B.32
C.41
D.46
Quảng cáo
1 câu trả lời 5978
Quảng cáo
Bạn cần hỏi gì?
Câu hỏi hot cùng chủ đề
-
Đã trả lời bởi chuyên gia
47769 -
Đã trả lời bởi chuyên gia
27656 -
Đã trả lời bởi chuyên gia
20325 -
Đã trả lời bởi chuyên gia
19403 -
Đã trả lời bởi chuyên gia
18980 -
Đã trả lời bởi chuyên gia
13086
Gửi báo cáo thành công!

