Ở cà chua, xét hai cặp gen (A,a; B,b) trội lặn hoàn toàn, phân li độc lập. Cây cà chua tứ bội giảm phân bình thường tạo giao tử 2n. Giả sử các giao tử tạo ra đều có khả năng thụ tinh như nhau. Cho các cây cà chua tứ bội có kiểu gen AAaaBBbb tự thụ phấn, ở F1 có bao nhiêu phát biểu đúng?
I. Các cá thể có kiểu gen giống bố mẹ chiếm tỉ lệ 25%.
II. Tỉ lệ kiểu hình lặn một tính trạng là 2,7%.
III. Tỉ lệ kiểu gen AAAaBbbb là 4/81.
IV. Nếu cho cây cà chua tứ bội trên lai với cây cà chua tứ bội đồng hợp lặn, theo lí thuyết đời sau thu đuợc tỉ lệ kiểu hình một tính trạng trội một tính trạng lặn gấp 5 lần kiểu hình lặn cả hai tính trạng
A. 1 B. 3 C. 2 D. 4
Quảng cáo
1 câu trả lời 432
Đáp án: C
AAaaBBbb tự thụ phấn.

Xét các phương án:
I đúng, tỷ lệ kiểu gen 
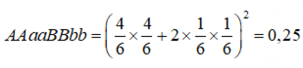
II sai, tỷ lệ kiểu hình lặn 1 tính trạng là: ![]()
III đúng, tỷ lệ kiểu gen AAAaBbbb ![]()
IV sai, Nếu cho cây AAaaBBbb x aaaabbbb

Tỷ lệ kiểu hình 1 tính trạng trội, 1 tính trạng lặn là: ![]()
Tỷ lệ kiểu hình lặn 2 tính trạng là: ![]()
Quảng cáo
Bạn cần hỏi gì?
Câu hỏi hot cùng chủ đề
-
Đã trả lời bởi chuyên gia
48809 -
Đã trả lời bởi chuyên gia
42956 -
Đã trả lời bởi chuyên gia
35328 -
Đã trả lời bởi chuyên gia
30109 -
Đã trả lời bởi chuyên gia
28047 -
Đã trả lời bởi chuyên gia
26099
