Ở thực vật, xét một locut gen có 4 alen, alen qui định hoa đỏ, alen qui định hoa vàng, alen qui định hoa hồng và alen qui định hoa trắng. Biết các gen trội hoàn toàn theo thứ tự > > > . Theo lí thuyết, có bao nhiêu nhận định sau đây đúng?
I. Cho cây lưỡng bội hoa hồng dị hợp tử giao phấn với cây hoa vàng dị hợp tử, kiểu hình của đời con có thể là 50% cây hoa vàng : 25% cây hoa trắng : 25% cây hoa hồng.
II. Thực hiện phép lai hai thể tứ bội (P): × , các biết cây tứ bội tạo giao tử 2n có khả năng thụ tinh, thu được 0 có cây hoa vàng chiếm tỉ lệ 1
III. Những cây tứ bội có tối đa 36 loại kiểu gen.
IV. Có tối đa 6 loại kiểu gen của cây lưỡng bội.
A. 4 B. 2 C. 3 D. 1
Quảng cáo
1 câu trả lời 383
Đáp án: B
(1) đúng, cho cây (vàng) x (hồng) → 1 : 1 : 1 : 1 :50% cây hoa vàng : 25% cây hoa trắng : 25% cây hoa hồng.
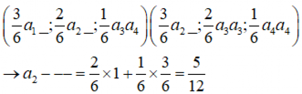
(2) đúng, (P): x → 
(3) sai, những cây tứ bội có tối đa
KG
(4) sai, những cây lưỡng bội có tối đa
Quảng cáo
Bạn cần hỏi gì?
Câu hỏi hot cùng chủ đề
-
Đã trả lời bởi chuyên gia
48870 -
Đã trả lời bởi chuyên gia
43027 -
Đã trả lời bởi chuyên gia
35409 -
Đã trả lời bởi chuyên gia
30210 -
Đã trả lời bởi chuyên gia
28091 -
Đã trả lời bởi chuyên gia
26145
