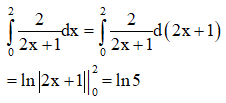
Tích phân bằng
Quảng cáo
1 câu trả lời 2285
Quảng cáo
Bạn cần hỏi gì?
Câu hỏi hot cùng chủ đề
-
Đã trả lời bởi chuyên gia
40706 -
Đã trả lời bởi chuyên gia
29132 -
Đã trả lời bởi chuyên gia
24256
Gửi báo cáo thành công!
