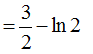
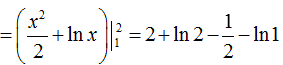
Tính diện tích hình phẳng giới hạn bởi : Đồ thị hàm số y = x + , trục hoành , đường thẳng x = 1 và x = 2
A.1-ln 2
B. 2-ln3
C.1,5-ln2
D. 1-ln3
Quảng cáo
1 câu trả lời 251
Quảng cáo
Bạn cần hỏi gì?
Câu hỏi hot cùng chủ đề
-
Đã trả lời bởi chuyên gia
40706 -
Đã trả lời bởi chuyên gia
29132 -
Đã trả lời bởi chuyên gia
24256
Gửi báo cáo thành công!
