trong không gian Oxyz, có bao nhiêu mặt phẳng đi qua điểm M(4;-4;1) và chắn trên 3 trục toạ độ Ox, Oy, Oz theo ba đoạn thẳng có độ dài theo thứ tự lập thành một cấp số nhân có công bội bằng 1/2
Quảng cáo
2 câu trả lời 110
Giải
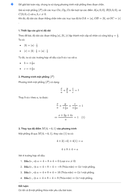
- Gọi mặt phẳng cần tìm là (P). Vì (P) cắt (chắn) 3 trục toạ độ Ox, Oy, Oz tạo thành các đoạn thẳng nên (P) không đi qua gốc toạ độ O.
- Giả sử (P) cắt Ox, Oy, Oz lần lượt tại A(a; 0; 0), B(0; b; 0) và C(0; 0; c) với a, b, c
- Phương trình mặt phẳng đoạn chắn của (P) có dạng:
- Vì mặt phẳng đi qua điểm M(4; -4; 1), thay toạ độ M vào phương trình ta được:
- Độ dài các đoạn thẳng chắn trên 3 trục toạ độ lần lượt là OA = |a|, OB = |b|, OC = |c|.
- Theo đề bài, 3 độ dài này theo thứ tự lập thành một cấp số nhân có công bội , nghĩa là:
- Như vậy, ta có các trường hợp về dấu của b và c so với a. Thay b và c vào phương trình (1), ta xét trường hợp:
* Trường hợp 1: và
+ Thay vào (1):
(Vô nghiệm)
* Trường hợp 2: và
+ Thay vào (1):
(Thỏa mãn )
(Với a = -8 . Ta được 1 mặt phẳng).
Trường hợp 3: b = và
+ Thay vào (1):
(Thỏa mãn )
(Với a = 16 => b = -8, c = 4. Ta được 1 mặt phẳng).
* Trường hợp 4: b = và
+ Thay vào (1):
(Thỏa mãn )
(Với a = 8 => b = -4, c = -2. Ta được 1 mặt phẳng).
Vậy: Có tất cả 3 mặt phẳng thoả mãn yêu cầu bài toán.
Quảng cáo
Bạn cần hỏi gì?
Câu hỏi hot cùng chủ đề
-
Đã trả lời bởi chuyên gia
29637 -
Đã trả lời bởi chuyên gia
25279 -
Đã trả lời bởi chuyên gia
13963 -
Đã trả lời bởi chuyên gia
11644 -
Đã trả lời bởi chuyên gia
11535 -
Đã trả lời bởi chuyên gia
10609

