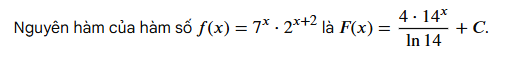
Nguyên hàm của hàm số: f(x) = là ?
Quảng cáo
4 câu trả lời 216
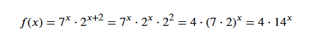
Sử dụng các quy tắc lũy thừa, ta có:
- Khi đó, hàm số được viết lại như sau:
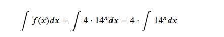
- Áp dụng công thức nguyên hàm cơ bản:
- Ta có:
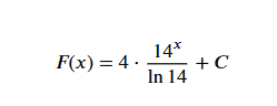
Vậy: F(x) =
Vì:
( sd lũy thua, biến đồi f(x) )

(a/dụng CT nguyên hàm cơ bản của hàm số mũ)

KQ: 
Quảng cáo
Bạn cần hỏi gì?
Câu hỏi hot cùng chủ đề
-
Đã trả lời bởi chuyên gia
40954 -
Đã trả lời bởi chuyên gia
29244 -
Đã trả lời bởi chuyên gia
24546
Gửi báo cáo thành công!
