trantrieutruonggiang@gmail.com
Hỏi từ APP VIETJACK
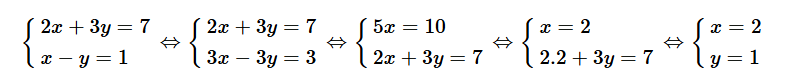
Giải các hệ phương trình sau a) {2x+3y=7
X-y=1
X-y=1
Quảng cáo
2 câu trả lời 104
Quảng cáo
Bạn cần hỏi gì?
Câu hỏi hot cùng chủ đề
-
Đã trả lời bởi chuyên gia
251365 -
Đã trả lời bởi chuyên gia
79135 -
Đã trả lời bởi chuyên gia
63272 -
Hỏi từ APP VIETJACK
Đã trả lời bởi chuyên gia
62588 -
Hỏi từ APP VIETJACK
Đã trả lời bởi chuyên gia
53413 -
47408
-
Đã trả lời bởi chuyên gia
44256 -
Hỏi từ APP VIETJACK
Đã trả lời bởi chuyên gia
41984 -
Đã trả lời bởi chuyên gia
41828
Gửi báo cáo thành công!

