A=. hãy chứng minh A chia hết cho 3,7,15
Quảng cáo
3 câu trả lời 202
2 tháng trước
H=2+2^2+23+...+260
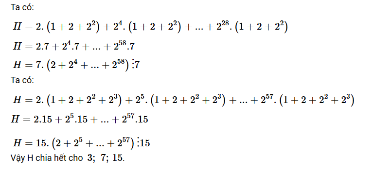
Ta có:
H=2.(1+2)+23.(1+2)+...+259.(1+2)
H=2.3+23.3+...+259.3
H=3.(2+23+...+259)⋮3
Ta có:
H=2.(1+2+22)+24.(1+2+22)+...+228.(1+2+22)
H=2.7+24.7+...+258.7
H=7.(2+24+...+258)⋮7
Ta có:
H=2.(1+2+22+23)+25.(1+2+22+23)+...+257.(1+2+22+23)
H=2.15+25.15+...+257.15
H=15.(2+25+...+257)⋮15
Vậy H chia hết cho 3;7;15.
2 tháng trước
$A = 2 + 2^2 + \dots + 2^{60} = 2(2^{60}-1)$
Chia 3: $2^{60}-1$ chia 3 $→ A$ chia 3
Chia 7: $2^{60}-1$ chia 7 $→ A$ chia 7
Chia 15: $2^{60}-1$ chia 3 và chia $5 → A$ chia 15
Vậy A chia hết cho 3, 7 và 15
vu duy anh
· 2 tháng trước
add nào v duy anh kbt
ゆずる
· 2 tháng trước
ai cho tôi 3 sao v
ゆずる
· 2 tháng trước
ác vừa
ゆずる
· 2 tháng trước
gửi acc đây t add
꧁༒ɳɡʉɤễɳ•Qʉλɳɡ•ɧσà•Ƙ12vɴシ༒꧂
· 2 tháng trước
m vẽ hộ t phát]
vu duy anh
· 2 tháng trước
à đây r
ゆずる
· 2 tháng trước
mình đâu có nói mình vẽ dc đâu b
vu duy anh
· 2 tháng trước
chowf tis
ゆずる
· 2 tháng trước
nhưng ít ra ko trl bừa như v ấy
꧁༒ɳɡʉɤễɳ•Qʉλɳɡ•ɧσà•Ƙ12vɴシ༒꧂
· 2 tháng trước
thì k vẽ đc thì mik nói thoi
ゆずる
· 2 tháng trước
thì nhắc v
ゆずる
· 2 tháng trước
spam nhiều bị khóa acc
ゆずる
· 2 tháng trước
nhanh lên duy anh
ゆずる
· 2 tháng trước
khổ m quá
vu duy anh
· 2 tháng trước
bị lms í
vu duy anh
· 2 tháng trước
add đâu có dc
ゆずる
· 2 tháng trước
thì gửi acc qua đây đi
ゆずる
· 2 tháng trước
để t add
vu duy anh
· 2 tháng trước
gửi cái nào
ゆずる
· 2 tháng trước
acc m ấy
ゆずる
· 2 tháng trước
gửi username â
vu duy anh
· 2 tháng trước
vda69
ゆずる
· 2 tháng trước
r
2 tháng trước
Tham khảo:


ゆずる
· 2 tháng trước
s lại có 69 trong tên v chong
ゆずる
· 2 tháng trước
sét vương nữa r
vu duy anh
· 2 tháng trước
kbt đặt số gì
vu duy anh
· 2 tháng trước
tại thg lạp nó toàn spam 69 nên lấy số đó
ゆずる
· 2 tháng trước
thua
ゆずる
· 2 tháng trước
https://hoidapvietjack.com/q/1920013/viet-ket-bai-cua-van-bao-luc-hoc-duong
ゆずる
· 2 tháng trước
sao nch giống nic trên này của m v
vu duy anh
· 2 tháng trước
xàm vl
vu duy anh
· 2 tháng trước
kbt nha
vu duy anh
· 2 tháng trước
cái kiểu avt mạng là chịu r
vu duy anh
· 2 tháng trước
với cái kí tự ff nữa
vu duy anh
· 2 tháng trước
https://hoidapvietjack.com/q/1920015/suc-cheo-ib
vu duy anh
· 2 tháng trước
nó ấy ấy vcl ra
ゆずる
· 2 tháng trước
chechau fi5
Quảng cáo
Bạn muốn hỏi bài tập?
Câu hỏi hot cùng chủ đề
-
3617
Gửi báo cáo thành công!
