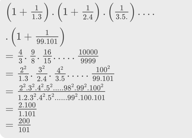
tính nhanh: (1+1/1.3)(1+1/2.4)....(1+1/100.102)
Quảng cáo
1 câu trả lời 208
Quảng cáo
Bạn cần hỏi gì?
Câu hỏi hot cùng chủ đề
-
Đã trả lời bởi chuyên gia
6281 -
Đã trả lời bởi chuyên gia
5641
Gửi báo cáo thành công!

